Bài 6. T-test bắt cặp (Paired t-test)
Kiểm định t-test bắt cặp (còn được gọi là t-test phụ thuộc) so sánh giá trị trung bình giữa hai nhóm liên quan trên cùng một biến phụ thuộc, liên tục. Ví dụ: bạn có thể sử dụng thử nghiệm t bắt cặp để biết liệu có sự khác biệt trong việc tiêu thụ thuốc lá hàng ngày của người hút thuốc trước và sau chương trình trị liệu thôi miên 6 tuần hay không (nghĩa là, biến phụ thuộc của bạn sẽ là “mức tiêu thụ thuốc lá hàng ngày” và hai biến số phụ thuộc của bạn có liên quan nhóm sẽ là các giá trị tiêu thụ thuốc lá “trước” và “sau” chương trình thôi miên).
1. Khi nào sử dụng?
Khi hai nhóm trung bình được so sánh từ cùng một mẫu, nghĩa là các phép đo được bắt cặp cho mỗi đối tượng trong mẫu, thì phép thử t-test bắt cặp (đôi khi được gọi là t-test phụ thuộc, dependent t-test) nên được xem xét. Các phép đo cũng sẽ có liên quan nếu hai mẫu độc lập được so khớp (trùng khớp) và sau đó các trung bình của hai mẫu được so sánh. Phép thử t bắt cặp thường được sử dụng để phân tích kết quả của thiết kế nghiên cứu ‘trước’ và ‘sau’. Ví dụ, một nhà nghiên cứu có thể muốn biết liệu có bất kỳ sự cải thiện nào trong điểm thu nhận từ vựng có thể được cho là do hiệu quả của phương pháp kể chuyện hay không. Điểm từ vựng của môn tiếng Anh sẽ được xác định trước khi bắt đầu phương pháp kể chuyện và chúng sẽ được đo lại sau khi chương trình đã hoàn thành. Mỗi môn học sẽ được ghép nối điểm từ vựng một lần trước can thiệp và một lần sau can thiệp. Mục đích của việc phân tích các thước đo lặp lại bằng cách sử dụng phép thử t bắt cặp là để xác định xem liệu sự thay đổi trung bình (trung bình của sự khác biệt về điểm số trước sau) trong điểm số có lớn hơn dự kiến chỉ do tình cờ bắt gặp hay không.
Kiểm định t bắt cặp dựa trên ý tưởng tương tự như kiểm định t độc lập, thống kê kiểm tra là tỷ lệ giữa trung bình của sự khác biệt (độ biến thiên được dự đoán) với sai số chuẩn của sự khác biệt (độ biến thiên tổng thể về điểm số). Khi các đối tượng giống nhau được sử dụng cho cả hai phép đo, sai số chuẩn là nhỏ hơn (một đặc điểm thiết kế nghiên cứu mong muốn) và do đó, sự khác biệt nhỏ hơn về trung bình có thể được phát hiện. Với ít hơn 5 cặp điểm, bài kiểm tra không nhạy lắm. Sự khác biệt lớn về điểm số là cần thiết để phát hiện ra sự khác biệt đáng kể và kiểm định này không nên được sử dụng quy trình này khi sự khác biệt dân số là không chuẩn.
2. Giả thuyết vô hiệu và suy luận thống kê
Phân bố mẫu của các điểm khác biệt (đại diện bởi D) được sử dụng làm cơ sở cho suy luận thống kê trong phép thử t bắt cặp. Giá trị trung bình của dân số các điểm khác biệt, μD, bằng 0, khi giả thuyết vô hiệu là đúng. Chúng ta coi đây là một bài kiểm tra một mẫu mặc dù chúng ta đang so sánh hai trung bình bởi vì chúng ta có một phân phối dân số của điểm chênh lệch. Giả thuyết vô hiệu có thể được viết dưới dạng H0: μD = μ1 − μ2 = 0.
Có thể có ba giả thuyết thay thế:
- μD ≠ 0 một kiểm tra hai phía, vùng loại bỏ là |t| > t1 − α / 2.
- Kiểm tra có hướng μD <0 (một phía), vùng từ chối t > t1 − α hoặc t <−t1 − α.
- Kiểm tra định hướng μD > 0 (một phía), vùng từ chối t> t1 − α hoặc t <−t1 − α.
3. Các giả định thống kê
T-test bắt cặp nên được xem xét khi dân số quan tâm bao gồm điểm số chênh lệch từ các quan sát được ghép đôi; điều này ngụ ý đo lường liên tục. Các giả định sau cần được đáp ứng:
- Các sự khác biệt bắt cặp được chọn ngẫu nhiên từ dân số. Điều này thường có nghĩa là mẫu được lấy ngẫu nhiên.
- Dân số của các điểm số khác biệt được phân phối gần như chuẩn.
- Các quan sát trong một điều kiện can thiệp là độc lập với nhau.
4. Thủ tục phân tích t-test bắt cặp
Ví dụ, một nhà nghiên cứu muốn biết liệu có sự khác biệt về điểm số trước và sau thử nghiệm phương pháp kể chuyện để cải thiện khả năng từ vựng tiếng Anh của học sinh tiểu học hay không. Có 20 học sinh (10 học sinh thành thị và 10 học sinh nông thôn) được chọn ngẫu nhiên tham gia một cuộc thử nghiệm. Kết thúc bài thi, nhà nghiên cứu thu thập điểm số của 20 học sinh này theo thang điểm 100, và tổng hợp theo bảng dưới đây.

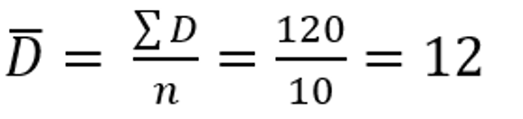
Trung bình sự khác biệt (Mean Difference): 
Tính toán t-test bắt cặp bao gồm ba bước, 1) tính toán trung bình của sự khác biệt; 2) tính toán độ lệch chuẩn của các điểm chênh lệch; và 3) tính toán sai số chuẩn của các điểm chênh lệch. Giá trị t được đánh giá bằng tỷ số giữa trung bình của sự khác biệt 1) ở trên với sai số chuẩn của sự khác biệt 3) ở trên. Cuối cùng luôn là việc báo cáo khoảng tin cậy.
Bước 1: Trung bình của sự khác biệt là 12 điểm.
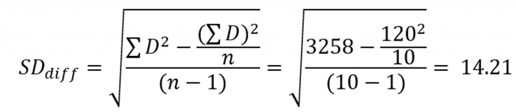
Bước 2: Độ lệch chuẩn của sự khác biệt:

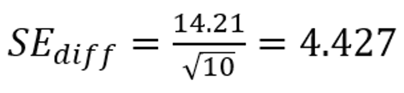
Bước 3: Tính sai số chuẩn:
![]()
Thống kê t (t-statistic) là trung bình của sự khác biệt chia cho sai số chuẩn của sự khác biệt, do đó t = (12 / 4.427) = 2.71. Bậc tự do được cho bởi n − 1, trong ví dụ này là df = 9. Một mức độ tự do được sử dụng để ước tính phương sai của điểm khác biệt trong dân số được ước tính từ trung bình của sự khác biệt trung bình của mẫu.
Nhận xét: giá trị tới hạn ở mức ý nghĩa 5% từ bảng phân phối t tương ứng 9df là 2.262. Vì giá trị t quan sát được là 2.71 lớn hơn giá trị tới hạn này nên chúng ta bác bỏ giả thuyết vô hiệu và do đó chúng ta kết luận rằng sự khác biệt trung bình của điểm số trước và sau của học sinh là khác 0 đáng kể.
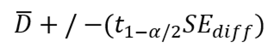
Bước 4: Tính khoảng tin cậy của trung bình của sự khác biệt.
Tính toán khoảng tin cậy CI 95% với 9df và giá trị t tới hạn là 2.262 bằng công thức sau:
![]()
= 12 +/- 2.262 * 4.427 = 12 +/- 10.01 = từ 1.99 đến 22.01
Nhận xét: Chúng ta có thể chắc chắn 95% rằng sự khác biệt giữa điểm số trước và sau thử nghiệm cải thiện từ vựng tiếng Anh bằng phương pháp kể chuyện của học sinh tiểu học nằm trong khoảng 1.99 đến 22.01. Khoảng tin cậy không bao gồm số không ‘0’ tương ứng với việc bác bỏ giả thuyết vô hiệu. Chiều rộng khoảng tin cậy khá lớn có lẽ vì kích thước mẫu nhỏ. Chúng ta chắc chắn 95% rằng sự khác biệt trung bình, với giá trị nằm trong khoảng 1.99 đến 22.01, nhưng giá trị có khả năng nhất là 12.
Cuối cùng, chúng tôi lưu ý rằng việc kiểm tra tính chuẩn của các điểm khác biệt của mẫu cần được thực hiện.
5. Phân tích t-test bắt cặp trong SPSS
– Bước 1: Click Analyze > Compare Means > Paired-Samples T Test…

– Bước 2: Trong hội thoại Paired-Samples T Test, chúng ta chuyển biến phụ thuộc “điểm sau” vào ô Variable 1, chuyển biến “điểm trước” vào ô Variable 2. Click vào nút Options, chọn khoảng tin cậy 95%. Sau đó nhấp Continue. Cuối cùng nhấp OK để chạy kết quả.

Phân tích kết quả:
– Bảng Paired Sample Statistics cung cấp thống kê mô tả hữu ích cho hai nhóm mà bạn đã so sánh, bao gồm giá trị trung bình và độ lệch chuẩn, sai số chuẩn của trung bình.

– Bảng Paired Samples Test cung cấp kết quả thực tế của t-test bắt cặp. Chúng ta có thể thấy rằng các trung bình của nhóm khác nhau có ý nghĩa thống kê vì giá trị trong hàng “Sig. (2-tailed)” nhỏ hơn 0.05. Nhìn vào bảng Thống kê nhóm, chúng ta có thể thấy rằng khi sử dụng phương pháp kể chuyển trong dạy học từ vừng tiếng Anh của học sinh tiểu học, điểm số sau là cao hơn so với điểm số trước là 12 điểm (tại cột Mean), khoảng tin cậy từ 1.83 đến 22.167, t (9df) = 2.670 (>2.262), p = 0.025.
Có thể thấy giá trị kiểm định t-test bắt cặp sử dụng SPSS đã có kết quả tương tự như tính tay theo công thức. Việc mô tả kết quả tương tự như trên. Các số liệu có sự sai khác chút ít, do khi tính tay thì các số liệu được làm tròn số.
Tài liệu tham khảo
- Coolican, H. (2018). Research methods and statistics in psychology. Routledge.
- Hanneman, R. A., Kposowa, A. J., & Riddle, M. D. (2012). Basic statistics for social research (Vol. 38). John Wiley & Sons.
- Jackson, S. L. (2015). Research methods and statistics: A critical thinking approach. Cengage Learning.
- McQueen, R. A., & Knussen, C. (2006). Introduction to research methods and statistics in psychology. Pearson education.
- Peers, I. (2006). Statistical analysis for education and psychology researchers: Tools for researchers in education and psychology. Routledge.
- Wagner III, W. E. (2019). Using IBM® SPSS® statistics for research methods and social science statistics. Sage Publications.




















